汽车制动网(www.chebrake.com)曾经详细介绍过由宁夏银川高自强汽车制动器研究所研制的《鼓式四蹄气动自动调隙制动器》(定名为双领双从式制动器)发明专利(发明专利号:ZL 2005 10075792.X)技术。可点击详阅:
鼓式四蹄气动自动调隙制动器专利技术概述
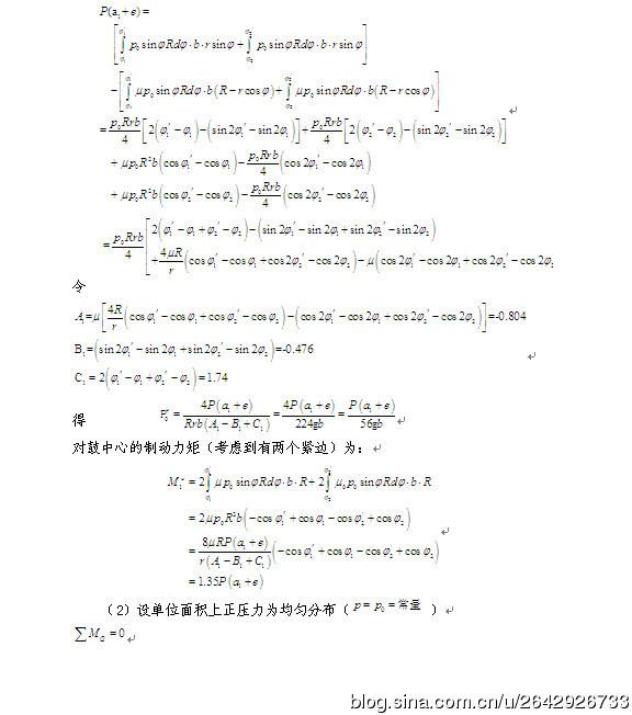
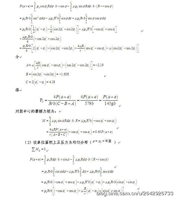
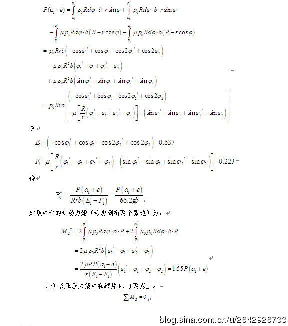
最近,高自强汽车制动器研究所发布了经严密理论技术的验证过程,见下文所列。专利人高自强先生表示,《鼓式制动器制动力矩计算》初步说明鼓蹄相对运动在制动摩擦过程中什么是(滞钝期)与(自然切点期)在磨损过程中它的存在和变化。这一要点非常重要《双领双从4蹄制动器》解决1吨-70吨各种车型制动失灵的问题。在设计汽车制动器中它有通用性。与ABS(防抱死)匹配使软件不易紊乱,与《鼓式四蹄八点》制动器最完美的匹配。

本文作者:
宁夏银川高自强汽车制动器研究所,高自强,汽车工程师,联系电话:13079503185