电动汽车驱动系统在运行时,传统的摩擦制动器将不再是除车辆行驶阻力外减缓车速的唯一来源因素。电动汽车制动过程时,电动马达摇身一变,成为发电机,把一部分车辆的动能转化为电能在蓄电池储存起来,这个转化过程中,会为车辆带来了新的制动来源 — 再生制动即由此而来。
再生制动大大降低了摩擦材料的磨损,提高了使用寿命,也同时为新能源汽车制动性能和NVH的测试带来了新的挑战:制动盘厚度、摩擦水平稳定性、腐蚀清洁度等都在再生制动参数的加入后发生新的变化。
现在,越来越多的试验室需要在新能源汽车制动测试中加入再生制动参数,以此来获取更为精准的数据。我们该如何在测试中额外模拟出新能源车辆的动态负载和再生制动因素呢?
再生制动模拟系统
林科的ProLINK系统给出了他的答案。近期,ProLINK控制软件开发出了最新的再生制动模拟系统——RegenSim 2.0。
只需在电脑中导入配置文件,它可以在测试过程中为台架额外模拟出新能源汽车的再生制动,可根据不同充电方式的车辆,如纯电动、油电混动、插电混动等,自定义不同的再生制动曲线,还可为不同的车型添加汽车行驶阻力参数,大大提升了制动性能测试数据真实性和可靠性。
RegenSim2.0 运作理论
RengenSim2.0可以应用于具有惯性模拟功能的林科制动台架,将其配置文件加载至ProLINK系统,即可将台架上运作为新能源汽车电子控制单元(ECU),分别模拟出传统制动摩擦的和再生制动的参数。
在模拟制动过程时,ProLINK RegenSim将台架控制到一个恒定的减速率,根据电机和摩擦制动力矩之间的关系,以及车辆总减速和测试惯量,实时为车辆提供精确的制动力,具体控制曲线如下:
RengenSim2.0允许用户输入一个再生制动扭矩相对于速度的曲线。这个曲线可以模拟所有类型的减速度制动。客户最多可输入50个点,代表关闭油门之后的自动再生制动扭矩。除此之外,混合制动也可以给再生制动设定一个模拟的比例。
当测试需要模拟不同的再生制动性能表现(比如前,后,或者四轮驱动,不同的充电状态SOC,或者其他动力总成的因素),用户可以简单的输入不同的性能曲线以代表不同的情况。此曲线可以通过程序在不同的章节调用。
定制化模拟 --- 电动车型
应对市场上不同的新能源车型,RegenSim 2.0可以模拟不同的再生制动过程,比如纯电动车(BEV)和混动车型(mHEV)。后者还可以细分到分别对并联式混动和串联式混动的模拟。
RegenSim2.0使用多项式函数来模拟车辆道路载荷。在配备惯量模拟和以太网伺服控制器的台架上,电机模拟再生制动的扭矩和道路载荷,来动态调整制动器的工作量。软件使用简单的扭矩和速度曲线来实现。可以在不同的章节根据调用不同的力矩profile,从而实现不同车辆的再生制动系统模拟。
下图列举出三种不同的再生制动系统的扭矩和速度曲线:
定制化模拟 --- 行驶阻力
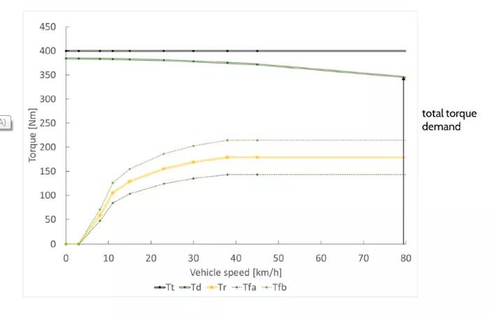
RegenSim2.0可让测试工程师在系统中设定车辆在行驶中的风阻、空气阻力、轮胎滚阻等。通过下图中的函数为台架加载出不同速度下的阻力和。
下图反应的是一次混动系统的制动测试中,在考虑行驶阻力后,制动所需要做的工作相对减少:
——RegenSim2.0客户应用案例——
本月,林科中国刚刚为一家制动系统制造商升级了RegenSim2.0模块,为其在新能源市场的布局提供了性能和NVH测试认证的支持。
根据自行设定的扭矩和速度曲线,我们为客户模拟了纯电动和混动车型的再生制动以及摩擦制动,从而准确使车辆以一定的减速度刹停,期间记录下了两组不同车型下的测试曲线数据。
再生制动参数设定(Setpoint)
实际制动数据(Actual brake data)

纯电动制动测试数据曲线

混动车型制动测试数据曲线