首页 > 制动知识 > 正文
不同路面温度条件下整车制动距离验证与研究
作者: 汽车制动之家 来源: 汽车测试网 日期: 2022年6月9日

摘要:
汽车整车制动性能测试试验一般通过规定环境条件下的制动距离及平均减速度反映制动性能,但忽视了路面温度对制动性能的影响更为直接的事实。针对这一问题,本文探讨了路面温度对整车制动距离的影响,通过理论与试验验证相结合的方法,在同等试验条件下,对比不同路面温度下的制动距离试验数据,研究了路面温度对整车制动距离影响的程度及规律,提出了路面温度适宜试验区间,并就提高制动试验结果的一致性提出建议。
 
1引言
 
汽车制动性能直接关系到交通安全,是消费者最为关注的指标之一。为验证或提升制动性能,汽车主机厂必须进行制动性能测试试验。
 
测试试验有效性的前提是试验环境条件的科学性以及一致性,环境条件不同,测试结果的一致性可能较差。在制动相关标准中,如GB 21670-2008《乘用车制动系统技术要求及试验方法》、GB 12676-2014《商用车辆及挂车制动系统技术要求及试验方法》等,或者大部分主机厂企业标准中仅仅做出了环境温度的规定,如GB 12676-2014规定环境温度不超过35℃,并没有对路面温度的规定。但是,由于路面对太阳辐射热的吸收作用,地面温度可能远远高于环境温度,沥青路面的最高温度可比环境温度高出20℃以上,如果只遵守环境温度的规定而不重视路面温度的要求,试验结果的一致性可能较差,而且,相对于环境温度,路面温度更加直接影响路面的状况,可能对于制动试验结果的影响权重更大。
 
因此,研究路面温度对制动试验结果的影响及其规律,对于制动试验结果的一致性非常重要,基于目前国家制动相关标准及企业标准中,缺乏对试验道路路面温度的规定,本文主要通过试验验证,研究了路面温度对制动试验影响的规律。
 
2地面温度对制动距离的影响程度
 
制动系的性能是基于制动距离和充分发出的平均减速度规定的,考虑到制动距离的直观性及代表性,本文采用制动距离作为评价指标,对制动性能的试验结果进行分析。
 
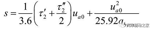
整车制动距离公式为:
 

\
 
\
 
由整车制动距离公式分析可知,影响汽车制动距离的主要因素是:制动器的作用时间、最大制动减速度即附着力、制动初速度。对于相同车型、相同试验操作方法、给定制动初速度的条件下,附着力越大,制动距离越短。
 
附着力指的是地面对轮胎切向反作用力的极限值,在硬路面上它与驱动轮法向反作用力成正比:
 
\
 
式中, 是地面对轮胎切向反作用力的极限值,也就是附着力 , 是驱动轮法向反作用力,为附着系数,它是由路面与轮胎决定的。
 
从轮胎方面来说,轮胎的类型、花纹、胎压、轮胎磨损量等以及车轮载荷都对附着系数有影响。
 
从路面方面来说,附着系数主要取决于路面的种类、状况等,包括路面的材质、粗糙度、磨损情况,以及路面的积水情况等。此外,由于路面温度与部分材料的性能、路面水相态变化直接相关,因此其对附着系数的影响也较为明显。如沥青路面在夏季酷热期间经阳光照射会发生结构层软化现象,造成车轮与路面间的附着力大大降低。
 
为了说明路面温度对整车制动距离的影响程度,下文采用同一辆给定的试验车辆在某固定试验场地进行制动距离试验测试。在载荷、轮胎、以及路面材质、粗糙度等条件已经固定的情况下,在相同试验人员、相同操作方式条件下,不同路面温度情况下的制动距离对比:
 
\
图1 不同路面温度条件下制动距离对比
 
 
上述比对试验的试验时间为同一天,当天环境温度均小于35℃,符合国标的规定,但是,同一天的路面温度差异较大,如上图所示,不同路面温度下的制动距离一致性较差,特别是满载情况下,制动距离相差近2m,路面温度对制动距离的影响较为明显。
 
经过以上理论分析及试验验证,可以表明路面温度对制动距离的影响较大。
 
3地面温度影响制动距离的规律
 
由于路面对太阳辐射热的吸收作用,在阳光直射的情况下,沥青路面会发生结构层软化现象。低温沥青(软沥青)的环球法软化点为35-75℃,意即当软沥青路面温度超过软化点,路面可能会发生结构层软化现象,造成附着力降低,最终导致制动距离增长。
 
低温环境时,轮胎中的橡胶随着温度的降低会逐渐硬化,据研究验证,低温会导致弹性元件硬化,可能会使轮胎橡胶变硬变脆,加上低温对附着系数的影响,轮胎与路面附着系数下降,摩擦力减小,导致制动距离增长。
 
综上所述,太高或太低的路面温度都不利于制动距离,而且应该存在一个适中的适宜温度区间。但是目前行业暂无路面温度对制动距离影响规律的系统性研究。基于此,为研究路面温度对整车制动距离的影响规律,下文从试验验证的角度,在典型路面下采用两组量产选装轮胎分别进行测试,最后通过分析、总结测试数据探索路面温度对制动距离的影响规律。
 
基于以上分析,为充分考虑路面温度的差异,拟选定一种典型路面(重庆西部汽车试验场制动道),考虑轮胎差异影响,选用两组不同类型的轮胎进行试验,一组采用横滨轮胎,一组采用正新轮胎(该两组轮胎为该试验车型的量产选装轮胎)。
 
(1)试验道路:重庆西部汽车试验场制动道,为沥青路,路面附着系数约0.9。
 
(2)试验车辆及轮胎:某畅销车型,选用两组不同类型的轮胎进行试验,一组采用横滨轮胎,一组采用正新轮胎。
 
(3)试验设备:采用行业通用的VBOX数据采集仪,其中GPS原始采集频率为100HZ,速度精度0.1km/h,距离精度0.05%。
 
(4)试验方法:参考国标21670-2008《乘用车制动系统技术要求及试验方法》中O型制动的要求,为消除操作方式导致的数据差异,对试验方法进行了更加严格的规定:制动初速度为100±0.5km/h,要求在制动促发开始0.15S内,制动力达到400N,制动过程中ABS需全循环,整个过程中制动力不超过500N,采集至少三次有效数据(有效数据之间的偏差不超过0.5m),试验结果取平均值,并按照国标对测量的制动距离进行修正。
 
(5)其他:为最大程度消除其他因素的干扰,除以上要求外,制动试验人员需固定,制动过程中路面温度变化尽量小,最大不能超过5℃。
 
为全面考察路面温度对制动距离的影响,该试验验证时间贯穿夏季、冬季,路面温度从5℃到65℃,基本能覆盖常规情况下全年干燥路面的路面温度。
 
重庆西部汽车试验场制动道不同路面温度条件下制动距离趋势见下图2。
 
\
图2 不同路面温度条件下制动距离趋势

 
由上图2分析可以得出:制动距离和路面温度虽然没有精确的线性关系,但是整体呈“U”型关系,具体呈现以下趋势:10-35℃温度区间时,相对于5℃、40-65℃温度区间,制动距离均较短。10-35℃温度区间平均制动距离为43.66m,5℃平均制动距离为44.75m,40-65℃温度区间平均距离为44.82m,10-35℃温度区间平均制动距离均短约1.2m。
 
4总结及建议
 
地面温度对制动距离有影响,整体呈“U”型关系,地面温度太低(5℃)以及太高(≥40℃),都会导致制动距离增长。
 
(1)路面温度为10℃-35℃时,制动距离较短,而且制动距离数据较为一致。路面温度过低(5℃)或过高(40℃及以上),制动距离较长。影响的趋势大概为“U”型曲线。
 
(2)建议制动试验相关标准中,增加路面温度的规定。推荐路面温度为10-35℃时,实施制动试验,提高制动效能试验结果的一致性。
 
因各主机厂轮胎使用型号、试验场地差异等因素较为复杂,难以得出适用于所有车型、所有轮胎的路面温度-制动距离的关系曲线,本文只得出了路面温度与制动距离的大致关系曲线以及大致的路面温度适宜区间。建议汽车厂家在自己常用试验场中,使用自己厂家常用轮胎型号进行试验验证,找出具体的路面温度影响规律,得出路面温度对制动距离的修正公式,对制动试验结果进行修正,进一步提高制动试验结果的一致性及精确性。

(转载请注明来源: 汽车制动网/chebrake.com 责任编辑:Jack)

推荐好友:
加入收藏: 加入收藏夹
】【打印本页】【发表评论】【关闭窗口
 
   
   
 
联系电话:021-50325218
Copyright 2007 www.chebrake.com. All rights reserved.
© 2007 汽车制动网 版权所有|法律声明 沪ICP备13016240号-2